今天是2024年11月27日,星期三,北京,天气晴。
我们今天继续来看GraphRAG的最新进展,可以可以回顾下Graphrag(ms版本)的路程:GraphRAG第一版本2024年4月份,主打global/local search;2024年11月初,搜索优化引入Drift_search动态搜索(https://microsoft.github.io/graphrag/query/drift_search) ;2024年11月底,在drift_search基础上,抛弃KG抽取并作rank优化,推出lazygraphrag(https://www.microsoft.com/en-us/research/blog/lazygraphrag-setting-a-new-standard-for-quality-and-cost/)。
其实,问题还是回归了,场景的问题,GraphRAG适合需要全面分析和复杂查询的场景,但成本较高。LazyGraphRAG在保持高质量答案的同时,要想兼备具有显著的成本优势,适合快速查询和资源有限的应用。是两个配置。所以,这个lazygraphRAG确实是取得很有信息量,足够lazy。
结起来就是LazyGraph不要entity/relationship这些kg包袱,更直白的keywords/noun-phrase,降低构建成本,KG其实是烫手山芋;查询阶段不要那么多,走优先遍历,减少上下文。所以,这是GraphRAG在KG上的退化(退化至与朴素RAG接近)。
我们可以从中找到一些思路,多思考,多总结,多实践;
一、先从GraphRAG的发展说起
从GraphRAG到LazyGraphRAG,其实我们可以很真实的感受到,大道至简,正如在之前《GraphRAG系列范式冷思考:GraphRAG、KAG框架思考及E2E-AFG自适应过滤端到端思路》(https://mp.weixin.qq.com/s/kYlGAwAFayySnszwZ1g8Og)中所说的,当前阶段无论是Graph,还是KG,应该跟RAG浅结合,把收益最大化。
GraphRAG(by Microsoft,https://github.com/microsoft/graphrag)的思想是,利用LLMs构建基于实体的知识图谱,增强查询重点摘要(QFS)任务。该系统通过预生成相关实体群体的社区摘要,捕获文档集合内的局部和全局关系;

全局搜索(Global search)处理跨越整个数据集的查询。这种场景综合了来自不同底层来源的信息,以回答需要对整个语料库有广泛理解的查询。例如,在一个关于科技公司研究努力的的数据集中,一个全局查询可能是:“过去五年中,在多个组织中出现了哪些AI研究趋势?”虽然连接分散信息很有效,但全局搜索可能是资源密集型的。
局部搜索(Local search)针对目标查询进行了优化,从与用户输入紧密匹配的文件的一个小子集中提取信息。当答案位于少数文本单元中时,这种模式效果最好。例如,一个查询询问:“微软的Cosmos DB团队在10月4日发布的新功能和集成有哪些?”

但是成本太高,所以后续的lightRAG(https://github.com/HKUDS/LightRAG,https://lightrag.github.io/,https://arxiv.org/pdf/2410.05779,https://microsoft.github.io/graphrag/)来对比,其来自于nano-graphra(https://github.com/gusye1234/nano-graphrag),其实就是微软Graph的简化版本,将社区、社区宅摘要这些环节做了去除,这种去除是好的,不会太重,对于知识更新也更快;

后面,搜索优化引入Drift_search动态搜索(https://microsoft.github.io/graphrag/query/drift_search) ,但并没有对索引的部门进行优化,依旧成本居高不下。
所以,到后面,Lazy版本的GraphRAG就出来了。而在本质上说,GraphRAG和LazyGraphRAG是两种不同的图增强检索与生成(RAG)方法,在数据处理和查询性能上有显著区别:
在数据处理方面,GraphRAG使用大LLM提取和描述实体及其关系。对每个实体和关系的所有观察进行总结。使用图统计优化实体图并提取层次社区结构。但LazyGraphRAG使用NLP名词短语提取概念及其共现关系。使用图统计优化概念图并提取层次社区结构。延迟LLM的使用,直到查询时才进行相关处理。
在查询机制方面,全局搜索上,GraphRAG在使用社区结构确保考虑整个数据集的广度,而LazyGraphRAG全局搜索上通过迭代加深的方式结合最佳优先搜索和广度优先搜索。在局部搜索上,GraphRAG直接使用原始查询,而LazyGraphRAG通过文本块嵌入和社区关系进行排序,并使用LLM进行相关性评估。
所以可以看到,在成本上,GraphRAG数据索引成本较高,因为需要进行复杂的LLM处理和社区结构提取。 LazyGraphRAG的数据索引成本与向量RAG相同,远低于完整GraphRAG。查询成本低,适合一次性查询和流数据处理。
二、GraphRAG引入DRIFT推理**
这个月初,GraphRAG微软版本更新0.4.0,引入DRIFT推理(https://github.com/microsoft/graphrag/releases/tag/v0.4.0,https://github.com/KylinMountain/graphrag-server,http://uncharted.software/,https://github.com/microsoft/graphrag),其中的重点模块是graph reasoning query module(https://www.microsoft.com/en-us/research/blog/introducing-drift-search-combining-global-and-local-search-methods-to-improve-quality-and-efficiency),其核心叫做DRIFT Search: A step-by-step process,一步步来,可以自行体会下。

一个完整的DRIFT搜索层次结构如上,三个阶段。
A (Primer):当用户提交查询时,将其与最相关的K个社区报告进行比较。这会产生一个初始答案以及几个后续问题,这些问题作为全局搜索的轻量级版本。为此,使用假设文档嵌入(HyDE)扩展查询,以增加敏感性(召回率),嵌入查询,与所有社区报告对照查询,选择顶部K个,然后使用这些顶部K个尝试回答查询。
B (Follow-Up):使用局部搜索来精炼查询,产生额外的中间答案和后续问题,增强特定性,这里默认迭代两次。
C (Output Hierarchy):最终输出是一个按相关性排名的问题和答案的层次结构,使结果具有适应性和全面性。
总的来说,DRIFT推理,这个是在检索阶段做的一个优化,但实际上效率可能会降低,因为引入了迭代搜索,但看其效果还不错。

三、LazyGraphRAG简化索引、弱化KG
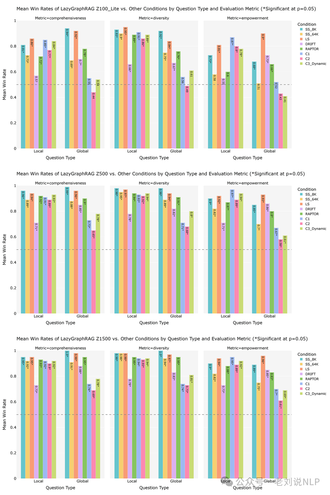
LazyGraphRAG(https://www.microsoft.com/en-us/research/blog/lazygraphrag-setting-a-new-standard-for-quality-and-cost/)的一个关键优势在于它在成本和质量方面的固有可扩展性,根据其博客介绍。在一系列方法(标准向量RAG、RAPTOR、GraphRAG本地搜索、全局搜索以及DRIFT搜索机制)中,LazyGraphRAG 在成本-质量上,表现不错。
不同的设定条件,这些参数设置,其实也是在实际过程中用到的思路。

对比效果如下,结论均来自于博客。
具体如下:
LazyGraphRAG的数据索引成本与向量RAG相同,仅为完整GraphRAG成本的0.1%。
在与向量RAG相当的查询成本下,LazyGraphRAG 在local查询上的表现优于其他方法,包括长上下文向量RAG、GraphRAG DRIFT搜索以及GraphRAG local搜索。
同样的LazyGraphRAG配置,在Global Search方面,其答案质量与GraphRAG Global搜索相当,但查询成本低超过700倍。
以GraphRAG Global搜索查询成本的4%,LazyGraphRA在local和global查询类型上表现不错,包括C2级别的GraphRAG全局搜索(推荐用于大多数应用的社区层次结构的第三级)。
所以,可看看做的具体优化操作,LazyGraphRAG在构建索引、匹配查询和映射答案等方面采用了更复杂的方法,而GraphRAG则相对简单直接。

在Build index方面,GraphRAG通过大模型(LLM)提取和描述实体及其关系,总结每个实体和关系的所有观察结果,并利用图统计优化实体图,提取层次化的社区结构。LazyGraphRAG利用自然语言处理技术(NLP)提取名词短语,识别概念及其共现情况,再通过图统计优化概念图,提取层次化的社区结构。
在Summarize index方面,GraphRAG利用LLM总结各个社区内的实体和关系。LazyGraphRAG采用“懒惰”策略,不预先生成概述,而是在查询时动态调用LLM进行处理。
在Refine query方面,GraphRAG直接使用原始查询,不做额外处理。LazyGraphRAG利用LLM识别相关的子查询,并将其重组为一个扩展查询,通过概念图中的概念进一步细化子查询。
GraphRAG不进行特殊处理,采用广度优先的方式,使用所有社区的摘要来响应查询。LazyGraphRAG针对每个子查询q,首先根据文本块嵌入和块-社区关系按相似性排序查询,接着根据前k个文本块的排名对社区进行排序(最佳优先)。使用基于LLM的句子级相关性评估器对未测试的前k个文本块的相关性进行评分,并按排名顺序从社区中选取文本块(广度优先)。如果连续z个社区没有产生相关文本块,则递归地进入子社区进行搜索,或者在达到相关性测试预算/q时停止(迭代加深)。
在Reduce answers方面,GraphRAG利用LLM根据随机批次的社区摘要并行地回答原始查询。LazyGraphRAG针对每个子查询q(通常3-5个),构建相关文本块的概念子图,根据概念的社区分配将相关块分组。使用LLM从相关块组中提取与子查询相关的声明,确保只关注相关内容。最后,对提取的声明进行排序和过滤,以适应预定义的上下文窗口大小。
所以,总结起来就是,不要抽实体、抽关系,抽名词短语,找共现就好了。社区上,延迟LLM的使用,直到查询时才进行相关处理,这样减少索引构建时间,查询时间上,通过迭代加深的方式结合最佳优先搜索和广度优先搜索,然后进行排序,减少上下文长度,加速推理;查询时间上,通过迭代加深的方式结合最佳优先搜索和广度优先搜索,然后进行排序,减少上下文长度,加速推理;
总结
本文主要回顾了Graphrag(ms版本)的路程:GraphRAG第一版本2024年4月份,主打global/local search;2024年11月初,搜索优化引入Drift_search动态搜索(https://microsoft.github.io/graphrag/query/drift_search) ;2024年11月底,在drift_search基础上,抛弃KG抽取并作rank优化,推出lazygraphrag(https://www.microsoft.com/en-us/research/blog/lazygraphrag-setting-a-new-standard-for-quality-and-cost/)。
这一路走来,其实都是在面向落地而做的优化或者简化,其目的是为了更加轻量以让大家更好的用起来。这其实也是目前很多框架所需要考虑的点。
大道至简,各位共勉。