|
奇智平台是为构建生成式AI原生应用而设计的生成式AI应用创建平台,通过奇智平台,我们可以将复杂的技术任务大幅简化,还能通过可视化编排构建各种类型的应用,让创意和创新更快、更好、更易实现。
我们小时候都玩过积木,通过堆砌各种颜色和形状的积木,可以构建出城堡、飞机、甚至整个城市。现在,如果有一个数字世界的积木,我们就可以用这样的“积木”来构建智能程序,这些程序能够阅读、理解和撰写文本,甚至与我们对话交流。这就是奇智平台要做的,也是奇智已经做到的,它就像是一件庞大的积木套装,等待AI应用的创意者们来发掘和搭建。
奇智平台全称是奇智大模型开放平台,奇智平台集成了大量的大模型、以及多种大模型相关的能力,通过奇智平台可快速构建大模型应用,并支持通过API对接接入。通过奇智平台,产研同学可以将多种大模型能力快速、灵活地应用到业务场景中,无需再为繁琐的接入过程耗费大量的研发时间,能够显著提升研发效率。 奇智平台构建在数据中心、调度平台等基础设施之上,为业务提供文本、图片、视频、音频、多模态、Embedding等基础模型能力,还提供LLM和Embedding的一键部署等能力。通过奇智一个平台即可快速接入全球各个大模型,适配不同的应用场景,自由体验、无缝切换,实现业务层和模型层快速灵活的绑定与解耦。奇智平台为开发者提供了健全的应用模版、编排框架、工具链等,提供从普通AI应用构建,到复杂 AI工作流编排,到多智能体协同等各种使用方式,同时支持RAG检索、模型管理、应用管理、成本管控、API文档自动生成等各类能力,一站式轻松构建和运营生成式 AI 原生应用。业务团队可以基于奇智平台,快速构建大语言模型驱动的生成式AI应用,轻松将创意变为现实,还能随时按AI应用的使用量无缝弹性扩展,有力支撑业务增长。奇智平台提供了可视化编排生成式AI应用的专业工作站(All in One Place)。涵盖了构建生成式 AI 原生应用所需的核心技术栈,开发者可以聚焦于创造应用的核心价值。奇智平台提供了一系列的工具更帮助我们更好的构构建AI原生应用。主要包括以下6类工具,后面会对其中一些热门工具做较详细的介绍。奇智平台的核心价值之一就是它提供了标准的模型接口,方便我们可以自由的切换不同的模型,包括文本、图片、视频、音频、多模态等模型。
说到模型,大家可以把模型按ChatGPT来理解,单纯的模型只能生成文本内容,随着大模型的不断发展,模型的跨模态能力在不断增强,包括: 1.普通LLM:接收文本字符串作为输入,并返回文本字符串作为输出。 2.聊天模型:将聊天消息列表作为输入,并返回一个聊天消息。 3.视觉模型:将接受的文本和图片或视频作为输入,并返回文本字符串作为输出。 4.语音模型:将接受的语音作为输入,并返回文本字符串作为输出。
奇智平台提供了统一的Prompt工程,支持Prompt的编排、调试、优化、版本管理,方便我们更容易的构建出我们想要的Prompt模板,我们可以保存Prompt模板,重复使用。基于平台,我们可以快速实现Prompt工程的搭建和调优,常见的功能流程如下图。

为了解决纯参数化模型的局限,语言模型可以采取半参数化方法,将非参数化的语料库数据库与参数化模型相结合。这种方法被称为RAG(Retrieval-Augmented Generation)。
1.RAG的整体流程 RAG整体业务链路主要分为5大步骤:知识生产与加工、Query改写、数据召回、后置处理以及大模型生产。

奇智平台在Native RAG的基础上,结合Advanced RAG和RAG-Fusion等方案提供了多种通用RAG能力:
知识切片:按固定字符切分、冗余切分、按句子语义切分、正则切分等。 查询生成/改写:使用 LLM 模型对用户的初始查询,进行改写生成多个查询。 向量搜索:对每个生成的查询进行基于向量的搜索,形成多路搜索召回。 倒数排序融合:应用倒数排名融合算法,根据文档在多个查询中的相关性重新排列文档。 重排: 使用一些重排算法对结果进行重排。 输出生成:参考重新排列后的topK搜索结果,生成最终输出。
2.RAG平台化方案 为方便用户使用,奇智平台提供了可视化的RAG Pipeline构建,方便快速搭建RAG应用,下面是奇智RAG的架构图。

RAG平台提供了知识库管理、RAG应用编排与调试,支持一键部署各类开源的热门Embedding模型,支持Rerank重排、多版本管理、数据与标注等。
同时供了一系列的功能模块和API服务,包括分块服务、Embedding、向量服务、知识库服务等,对有深入定制化需求的业务,可通过API灵活组合构建更定制化的RAG应用。
在平台上可以通过可视化编排的方式,快速搭建一个RAG应用,然后通过调用应用API的方式将应用集成在工程项目中:

通过将复杂的任务分解成较小的步骤(节点),工作流可以降低系统复杂度,减少对提示词技术和模型推理能力的依赖,提高 LLM 应用面向复杂任务的可解释性、稳定性和容错性。- 对话工作流:面向对话类情景,需要在构建响应时进行多步逻辑的对话式应用程序。
- 文本工作流:面向自动化和批处理情景,适合高质量翻译、数据分析、内容生成等应用程序。
奇智工作流由用户界面和工作流执行服务两部分构成,如下图:用户界面将工作流执行服务的各类执行器以节点的形式暴露出来,包括LLM、知识检索、问题分类、代码、HTTP、插件、条件等节点:LLM节点:调用大语言模型回答问题或者对自然语言进行处理;知识检索:从知识库中检索与用户问题相关的文本内容,可作为下游 LLM 节点的上下文;问题分类:通过定义分类描述,LLM 能够根据用户输入选择与之相匹配的分类;代码:运行 Python / Groovy 代码以在工作流程中执行数据转换等自定义逻辑;HTTP:允许通过 HTTP 协议发送服务器请求,获取更多业务需要的信息;插件:允许在工作流内调用奇智平台上自定义创建的各种插件;各业务可对各类节点进行可视化的拖拽和编排,构建各类工作流应用。复杂任务的模块化管理:通过将复杂任务分解成多个节点,使任务处理流程清晰,每个节点承担单一职责。这种模块化设计降低了复杂任务的系统复杂度,增强了流程的可维护性和可扩展性。实现业务逻辑的灵活调整与扩展:工作流支持条件判断和多分支并行执行等,使业务逻辑可以灵活编排和调整,适应不断变化的业务需求。同时,工作流结构便于新增或替换节点,极大增强了系统的适应性和灵活性。增强系统的可解释性与容错性:工作流使任务处理路径可视化,便于监控和追踪各节点执行结果,提升了系统的可解释性。此外,工作流能够通过条件分支有效应对异常情况,增强系统的容错能力。
运维机器人通过问答的形式,帮助业务提高问题的排查问题和定位速度。在该工作流中,通过问题分类节点对问题进行分类,并通过选择器节点将不同类型的问题流转到不同的分支处理,最终通过结束节点引用各个分支的结果,进行综合结果的输出。各环节的配置说明如下:环节 | 节点类型 | 说明 | 开始 | 开始节点 | 开始节点用于接收用户问题,将用户输入赋值给变量,透传给后续的节点。 | 识别用户意图 | 问题分类节点 | 在节点中填写分类信息。该节点会对用户的问题进行分类,并根据分类将问题转交给不同的分支进行处理。 如:监控类的问题则转交给监控的分支处理。 | 处理用户问题 | 知识库节点、大模型节点 | 知识库节点根据用户问题进行知识召回; 大模型节点进行总结回复。
| 结束 | 结束节点 | 输出智能体的回复内容。可以通过输出变量直接引用前置节点的数据,进行回复内容的输出。 |
插件是大模型能力的拓展,通常通过调用外部API的方式来进行大模型的能力拓展,例如OpenAI调用插件的流程如下图:

奇智平台在参考OpenAI的插件流程和插件描述规范的基础上,设计实现了一套自定义插件的开发流程,并基于Function call、ReAct等能力进行插件的识别和调用,从用户输入中提取插件所需的参数,进行插件API的调用,然后再通过大模型进行插件API回复结果的总结。下图展示了基于Function call的插件流程:

对于用户来说,在奇智平台创建自定义插件的流程较为简单。用户在编写好插件的API描述ibrain.yaml文件后,上传到奇智平台,验证通过后,则可创建插件。创建完成后就能在各个应用中使用以拓展大模型的能力。插件创建的流程如下图:

奇智支持通过基础模板和自由创建的方式来创建智能体。
根据复旦大学自然语言处理团队(FudanNLP)LLM-based Agents 综述论文<<The Rise and Potential of Large Language Model Based Agents: A Survey>>,提到了“Agent = LLM + 感知 + 规划 + 记忆 +工具使用”的基础架构,其中大模型LLM扮演了Agent的“大脑”,在这个系统中了提供推理、规划等能力。整体架构如下图所示:

Agent这个框架包含多个部分,分别是感知(Perception)、规划(Planning)、记忆(Memory)、动作(Action)等,分别简单介绍下:
感知(Perception): 从外部环境接收处理多模态信息。 规划(Planning):主要包括子目标分解、反思与改进。 记忆(Memory):包括短期记忆和长期记忆。 动作(Action):使用文字或者工具(调用外部API来获取模型权重中缺少的额外信息,包括当前信息,代码执行能力,访问专有信息源等。)来完成执行的操作,从而对外部的环境造成影响。
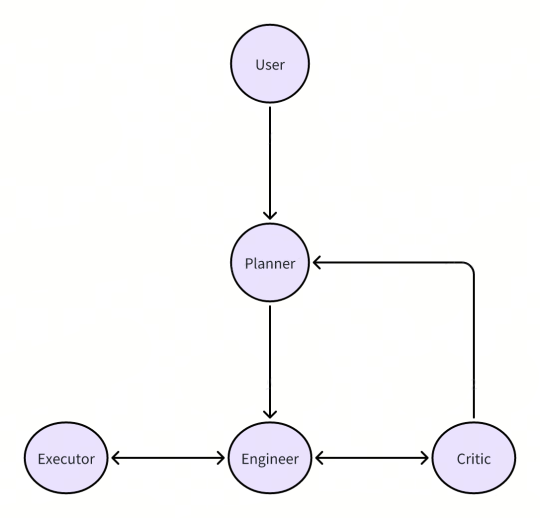
目前奇智平台已支持文字形式的输入输出,通过大模型调用各类工具等功能。奇智平台在单个Agent应用的基础上, 支持用户构建Multi-Agent应用。平台支持将用户自建Agent和在奇智平台创建的Agent,接入同一个Agent Group中解决同一问题。平台还提供控制调控Agents之间通信合作的功能,以及保存和载入短期历史Group信息的功能。在同一个Group的Agents可以共享信息,互相传递消息,不断迭代,最终解决问题。每个Group实例之间的历史信息互相隔离,提供独立的工作环境,Group中的代理Agent是原有Agent在新的环境/Group的代理,负责在Group中和原Agent之间的消息传递。 同时我们还可以在对使用的Agent功能了解的情况下,通过规定Agent之间的工作顺序来有效集成Agent功能完成任务。如下图所示,在奇智创建Group时可以使用以下参数设置用字典构建一个工作顺序图:我们有Planner, Engineer, Executor,Critic这几个Agents, Planner可以做计划, Engineer可以写代码,Executor可以执行代码, Critic可以提出意见。希望的工作顺序是Planner先做计划,由Engineer来发出指令,然后可以是Executor来执行或者Critic提出意见,Critic可以将结果返回给Planner或者让Engineer重新计算,Executor可以将执行结果提交给Engineer, Planner可以选择需不需要重新制定计划。下面的参数设置中key,values分别代表运行顺序箭头的两端。 "relationship_graph": { "planner": ["engineer"], "engineer": ["executor", "critic"], "critic": ["engineer", planner], "executor": ["engineer"] }
 Multi-Agent不仅是提供了Agents之间合作的平台,也是提供了Agents之间互动的平台,也就是说Agents之间也可以互相反驳,互相竞争。奇智平台即将上线给大模型配备的记忆功能,在记忆功能的基础上我们将进一步增加反思、总结等高层次的能力, 让智能体在互动中学习总结,帮助智能体在模型训练数据见底的情况下持续学习增长能力。在Agent的记忆功能启用的情况下,这种互动将有助于单个Agent自身的能力提升。和Agent相关的相关规划还包括Agent多模态存储、提取、 处理以及提高Agent 工具调用能力等。奇智平台提供简单的设置,供业务开启Agent记忆功能,打开记忆功能之后,业务场景中和Agent的互动将会被记录,并根据业务的预先设定要求转换为长期记忆。转换过程主要涉及一些互动过程中的事实提取,现有长期记忆的更新,删除等等。当业务场景中再次与Agent互动时,记忆服务将根据此时的上下文传入最相关的长期记忆,为业务场景提供更加贴切的使用效果。
记忆应用案例: 用户和大模型应用交谈中透露了自己的设定喜好,但是在多轮对话后被遗忘(模型答非所问): 1.用户:唱一首歌给我听。 2.应用:我只会唱流行歌曲,可以吗? 3.用户:可以,我喜欢周杰伦。 4.应用:好的(清嗓子), 开始唱菊花台。
5.……(超过100轮) 6.用户:播一首我喜欢的歌曲。 7.应用:好的,你喜欢什么歌曲呢?
在对话达到一定轮数后使用记忆功能存储并提取转换,我们就有了人物关键喜好设定的信息,下次可以根据用户的输入提取出相关重要信息(比如用户喜好)。

在奇智平台上,只需要10分钟,不需要写一行代码,就可以创建一个有大模型能力加持的 AI 机器人。这个机器人可以全天候(7x24)响应用户咨询,还能解答私域问题,成为业务的专属机器人。
在奇智平台上创建一个 AI 机器人非常便捷: 创建一个大模型应用,包括对话、插件、工作流、Agent等类型应用。 应用创建完后申请API权限,然后在奇智平台上提交创建飞书机器人的表单,将应用转为飞书机器人。 还可以为机器人添加私有领域知识,开启知识检索增强(RAG),添加Memory支持长期记忆等,逐步丰富扩展机器人的能力,更好地对接完成用户的咨询。
 未来奇智平台将提供更多实用的开发套件,持续提高业务的大模型开发效率和输出。同时完善训练与推理的一体化生态建设,更好的满足垂直领域的业务场景需求。
|