|
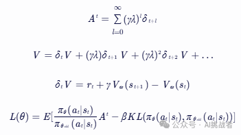
引言 强化微调(Reinforcement Fine-Tuning, RFT)作为OpenAI最新推出的模型定制技术,正在深刻改变人工智能领域的发展格局。本文将详细介绍强化微调的工作原理、数学原理、安装使用方法以及实际使用案例,帮助读者深入了解这一前沿技术。 强化微调的工作原理 强化微调是一种通过强化学习原理进一步优化和定制预训练模型的方法。当模型遇到问题时,它会被给予一定的思考空间以解决问题,然后对其最终答案进行评分。通过强化学习机制,模型会强化那些通向正确答案的思路,同时削弱导致错误答案的思路。这一过程使得模型在特定任务上的表现显著提升。 具体来说,强化微调从监督微调(SFT)开始,模型在此阶段获得正确解决基本问题的能力。随后,通过使用近端策略优化(PPO)等强化学习算法,模型进一步探索和学习各种正确的解决方案和推理方法。这种高级阶段的训练允许模型在特定领域表现出专家级的推理能力。 数学原理 强化微调的核心在于利用强化学习算法,如PPO,来优化模型参数。PPO算法的数学公式如下: 
其中, 是优势函数,是损失函数 中最重要的因素; 涉及到了token级别的更新; 是token的奖励; 是价值模型对未完成句子价值的评判; 和 分别是待更新模型和参考模型的策略; 是KL散度,用于衡量两个分布之间的差异。 安装与使用 安装强化微调 目前,OpenAI的强化微调功能主要通过其API提供服务。用户无需自行安装代码,而是需要通过申请API访问权限来使用这一功能。以下是申请API访问权限的一般步骤: 1.访问OpenAI官方网站,注册并登录账号。 2.在开发者工具或API服务页面,申请强化微调功能的API访问权限。 3.填写相关信息,包括使用场景、数据集描述等,等待审核。 使用强化微调 一旦获得API访问权限,用户可以通过调用OpenAI提供的API接口来使用强化微调功能。以下是一个简化的使用示例: importopenai#设置API密钥openai.api_key='你的API密钥'#创建强化微调任务response=openai.api.create_fine_tuning_job(model='o1-mini',training_file='你的训练数据集路径',validation_file='你的验证数据集路径',reward_model='你的评分器模型')#获取任务IDjob_id=response['data']['id']#监控任务进度whileTrue:status=openai.api.get_fine_tuning_job(job_id=job_id)['data']['status']ifstatus=='completed':breakprint(f'任务进度:{status}')time.sleep(60)#每分钟检查一次进度#下载微调后的模型fine_tuned_model=openai.api.get_fine_tuned_model(job_id=job_id)请注意,上述代码仅为示例,实际使用时需要根据OpenAI提供的API文档进行调整。 使用案例 医疗辅助决策 在医疗领域,强化微调技术可以显著提升AI系统的诊断能力。例如,一家医疗科技初创公司利用强化微调功能,使其AI系统能够基于患者症状描述生成合理的初步诊断,从而减轻医生的工作负担并提高诊断效率。 法律咨询助手 在法律领域,强化微调技术同样展现出巨大潜力。法律事务所利用强化微调后的智能助手,从法律数据库中提取相关案例并提供法律建议,显著提高了工作效率和咨询质量。 科学研究 在科学研究领域,强化微调技术也有广泛应用。例如,伯克利实验室的研究员利用强化微调技术训练AI模型来推理罕见遗传病的致病基因,为医学研究和患者治疗提供了有力支持。 结语 强化微调技术作为人工智能领域的一项重大创新,正在逐步改变我们的工作和生活方式。通过深入了解其工作原理、数学原理以及安装使用方法,我们可以更好地利用这一技术来推动各行各业的发展。未来,随着技术的不断进步和应用场景的不断拓展,强化微调技术必将为我们带来更多惊喜和可能。 |